Do you know how to determine the amount of energy required to heat a substance to a specific temperature? If the answer is “no”, stick around. We’ve got a simple method to help you determine the energy required for almost any heating application!
Let’s start with the “total heat equation” The equation is:

As you can see, this equation has three different components. One by one, we will cover each component so that you can determine exactly how to calculate the total energy required, in kilowatts, for your application. First, though, I want to talk about the difference between start up and operational heat requirements.
The startup or pre-heat is defined as the amount of heat required to bring a system from its initial temperature to the final operating conditions in a specified length of time. Think of it like pre-heating your oven before you bake a batch of cookies.
Operational heat is defined as the amount of heat required per unit of time (usually an hour) once the system is at its specified operating temperature and doing the work you need it to do.
The majority of the energy is on the operational side. So, our focus will be to determine the KWs required on this portion of the heating process.
The first component is QA which is the heat energy absorbed by the materials. Here is the formula to calculate the heat absorbed:

This equation allows us to determine the total KWs required for a specific application. It uses 4 different values:
- Media weight in lbs.
- Specific heat in BTU/lbs- °F
- Temperature change in degrees °F
- Heat up time in hrs.
In order to solve for QA, there are three simple steps you should follow:
- Gather information
- Determine needed values and convert to appropriate units
- Solve the equation
Don’t get overwhelmed! It’s easy, I promise, and I’ll walk you through it step by step.
Step 1:
Gather information. Let’s say that you have an oven that is used to heat 500 lbs. worth of granite blocks in a batch process. The oven is 7.5 ft wide, 10 ft long, and 7.5 ft in height. It has steel walls with 2-inch insulation.
In this scenario, we need to determine the amount of heat (in kilowatts) absorbed by the granite as they are being heated from 50°F to 230°F in 2 hours.
Let’s create a list:
- Heated media: granite
- Granite weight: 500 lbs.
- Oven width: 7.5 ft
- Oven length: 10 ft
- Oven height: 7.5 ft
- Oven material: steel
- Oven insulation thickness: 2 in
- Oven initial temp: 50°F
- Oven final temp: 230°F
- Heat up time: 2 hrs.
Step 2:
Now, we can determine needed values and convert to appropriate units. For this batch oven scenario, we need to determine:
- Specific heat of granite
- Temperature rise
Specific heat values can often be found online with helpful websites like The Engineering ToolBox. Here you can find the specific heat values for numerous materials. Just make certain the values you have are the correct units. This is really important.
Looking online, we are able to determine that granite has a specific heat value of 0.189 BTU/lb°F.
Solving for temperature rise, or the change in temperature, is fairly simple. This is just the final temperature minus the initial value. So 230°F – 50°F equals 180° delta.
Step 3:
Solving the equation. If the first two steps are done correctly and the values are in the correct units, this step is a breeze.
All you’ve got to do is plug in the values.

So, you can see we are putting in the mass, the Cp, the delta T, and the time required, do some simple math… and you now know the KWs absorbed per hour for your heating application!
In this scenario, we end up with a total energy required of 2.5 KWs.
If during the heating process, your heated media undergoes a phase change (from a solid to a liquid or a liquid to a gas) this will also affect the total KW required. It takes a tremendous amount of thermal energy to create phase change, but fortunately for our batch oven scenario, the heated material doesn’t change phases, so we can ignore this potential influence and move on to the next component, QL, or heat loss.
Calculating Heat Loss:
Heat loss can have significant impact when determining the KW required. To find the heat loss, you need:
- Area of the heated container
- Material/construction of the container
- Difference to the ambient
Heat loss curves allow you to determine the loss in wattage per square foot per hour. After you know that value, all you have to do is plug your values into the following equation:

This gives you the total kilowattage lost per hour due to heat loss.
You can look up these curves online…or you can plug these parameters into a computer program. The application engineering team at Valin runs these types of calculations all the time.
If you would like help with these, you can contact us using the contact information provided in the video description.
Here is the heat loss curve that best fits our application.

We can utilize the curve to determine the value of the wattage lost per square foot per hour. In our scenario, due to the 2-inch thick insulation and 160° difference to the ambient (assuming 70°F ambient and 230°F oven temp), the curve gives us a value of 5 watts per square foot per hour.
Calculating Oven Area:
Next, we will need to calculate the area of the heated container. Because we already have the dimensions, this is easy to do. It’s just:

Using this formula, we can determine the area of the oven is 562.5 square feet.
From there, all you need to do is plug the values into the heat loss equation and we get a value of about 1 KW lost to ambient.
Calculating Safety Factor:
Time to move on to the final component: The safety factor.
This component basically ensures that you’ll have more than enough energy available for your application. We recommend adding a safety factor of at least 10%... sometimes up to 20% if the conditions are sketchy or there are many unknown variables.
In order to determine what a 20% safety factor would be, all you have to do is add your heat absorbed (QA) and heat lost (QL) values together and multiply it by 20%.

Doing this, we get a safety factor value of 0.7 KW.
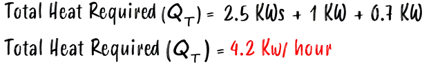
Once you’ve calculated the safety factor, you’re pretty much good to go! All that’s left is to add the three numbers together, do some simple math, and you’re done! You have successfully calculated the total energy required for your heating application!

In our scenario, we get 4.2 Kw/ hour for the total heat required.
If you have any questions or comments about this article or the math, please let us know in the comments section of the included video.
If you'd like to speak to one of Valin's process heat experts call (855) 737-4714 or fill out our online form.