The need to heat a tank applies to nearly all industries, which is why it is one of the most prevalent industrial heating applications. Whether it involves water, fuel or something more corrosive, there is a tremendous amount of nuance involved in heating a tank within a process. Which approach makes the most sense depends on the desired outcome. Whether the goal is to heat an already “finished” product in storage or the materials used at some point during the production cycle, heating a tank accurately and efficiently is an important goal for many decision-makers in the industrial world.
The key is determining the best approach. Overlooking even small details can lead to an inefficient, overly costly process or even unsafe process.
Calculate Energy Needed
The first thing that you need to determine is how much energy you will need for a particular process. The basic total energy equation for a tank heating application is as follows:
Energy Equation
Where:
Qtot is the total energy requirement.
Qm is the energy absorbed by the process material including latent heat, the material in the tank, and the tank itself.
QLoss is the energy lost from the surfaces by conduction, convection, radiation, ventilation and evaporation.
The safety factor typically ranges from 10% to 25%.
Is the goal to heat the material in the tank from one temperature to another, or is it more about maintaining a required temperature? For the latter, you only need to calculate heat loss. The biggest pieces of information needed for a heat-loss calculation are
- The surface area of the tank
- The minimum ambient temperature
- The operating temperature
Other important considerations are the maximum wind speed and the amount of tank insulation.
Watlow Immersion Heater

including all types of oils and heat transfer solutions.
The total heat loss is the sum of the energy loss through conduction, convection, radiation, evaporation and ventilation during operation. Loss through conduction is the energy transferred through the sides of the tank and insulation, and it will depend on the tank wall material, the insulation material and their thicknesses. The losses through convection, ventilation and evaporation are the energy pulled away from the tank by the air around the tank. High wind in outdoor applications can affect this calculation. Loss through thermal radiation will be more of a factor in high temperature applications. In tank storage applications, it usually is not significant and can be added to the safety factor.
Many resources online such as charts and calculators can help conservatively estimate heat loss from a tank. Insulation material and thickness are critical factors that will reduce the heat loss from the tank, which in turn will reduce the operational energy requirement and reduce energy costs.
If the goal is to heat the material in the tank to a specific temperature, then it is critical to gather more detailed information about the materials to be heated. Foremost, what is the standing temperature of the material, and what is the material temperature required? Also, how much time do you have to get the material up to the required temperature?
In addition, it is important to know the specific heat (or heat flux) of the materials, including the material in the tank as well as the tank material itself. You also will need to add heat loss. In this case, however, the heat loss calculation will be an average of the heat loss at the initial temperature and the heat loss at the operational setpoint.
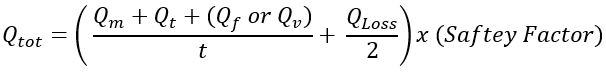
Expanding on the basic energy equation, you have the following:
Energy Equation

Where:
Qtot is the total energy requirement.
Qm is the energy required to heat the material inside the tank.
Qt is the energy required to heat the tank and insulation.
Qf and Qv is the energy required to change the state of the material (Heat of Fusion and Heat of Vaporization).
QLoss is the energy lost from the surfaces by conduction, convection, radiation, ventilation and evaporation. This value will be the average heat loss at initial temperature and at operation setpoint.
The safety factor typically ranges from 10% to 25%.
With this information, the delta temperature (?T) can be determined. (This is the difference between the standing temperature and the process temperature required.) Before you finalize that calculation, however, the energy losses need to be understood: you will need to include heat loss in the calculation itself. To uncover those values, more details about the tank’s configuration must be laid out. Typical questions to be answered include:
- What is the tanks shape?
- What are its dimensions?
- Is it a closed tank, or is there an opening at the top?
- What is the volume of the tank?
- And, perhaps most importantly, what kind of insulation is being used?
Proper insulation is possibly the most important factor in minimizing heat loss. If the tank is outside, either cladded or closed-cell insulation is needed to protect the tank from moisture. This approach will keep moisture out as opposed to absorbing it. Doing your due diligence on the insulation will ultimately minimize energy costs down the road.
The next factor to consider is mass. You need to know the mass of the fluid being heated as well as the mass of the metal of the tank holding the fluid.
The final question is, “Are we changing state?” For example, if you are heating something in a solid state that will then change to a liquid, more energy is required.
Once you know the heat loss expected, the mass of the liquid and the tank, and any special considerations for a change of state, the total energy requirements can be calculated (q).
Watlow Electric heat exchangers

Direct vs. Indirect Heating
Tanks can be heated directly or indirectly. In other words, heat transfer is accomplished by heating the liquid through direct contact, or the liquid is heated by convection via heating applied to the tank it is in. In the direct method, the heating source is placed directly in the tank; with the indirect method, the shell of the tank is heated so the source does not contact the fluid.
Determining the ideal approach is the first step, and the determining factor is the nature of the fluid. Is it overly corrosive or sensitive to contact? If so, then it may make the most sense to apply heat indirectly (applying heat to the tank) rather than directly heating the liquid.
When there are no restrictions in terms of having a heating source in direct contact with the liquid, it is recommended to find a way to heat the liquid directly. That way, all of the energy is delivered directly to the liquid rather than using some of the energy to heat the tank materials.
Material Considerations
Material capability also must be considered. The specifier needs to understand the nature of the tank material. Is it a corrosive material? If the tank is made of a specific metal, for example, then it makes sense to use a similar metal for the heater. There is some nuance, however, because a heating source will be attacked by corrosives more than a non-heating source.
You will need to know how many gallons of the liquid is in the tank, and how much time the process takes. Does it need to be done in a few hours? Can the process take days?
Decisions also need to be made regarding access to the tank. If the strategy is to directly heat the fluid in the tank, this can be achieved in a few ways. The heating source can enter through the top or via connections on the side.
After all the details and requirements are discussed and documented, a decision can be made regarding the type of heater to be used: electrical or fired with fossil fuels. If an electric heater is selected, the voltage will need to be determined, and the circuit needs to be large enough to handle the requirements. There are pros and cons for each approach, but each situation can be unique.
Control
The last piece of the puzzle involves the control requirements. Depending on the application, there may be a need for tight control and feedback. If it needs to communicate with the SCADA system, some solutions may not work.
At the same time, an operator wants to communicate and receive feedback from the controller. The operator also will want to maintain a precise temperature and level inside the tank. This requires a sensor but, it is important to note, the sensor must be installed in a strategic location. Best practices dictate it should be installed on the side of the tank opposite the heat source.
Tank heating is a function that is prevalent throughout many industries, and it is not going to be going away any time soon. It is important to have a comprehensive understanding of the requirements and characteristics of the process before making any decisions on the best approach. If possible, it is always a good idea to consult with an expert that has experience in specifying tank heaters to precise requirements.