High-Performance Cartridge for Ultrapure Microelectronics Fluids and Gases

The Proflow? II-E-SELECT filter cartridge provides exceptional flow rates and on-stream life. It uses a PTFE membrane along with high-purity polypropylene supports that provide an economical alternative to all fluoropolymer cartridges. With its unique SELECT pleating technology, the liquid fow rates are increased by up to 50% verses our standard Proflow? II-E. This filter is ideally suited for ultrapure microelectronics fluids and gases. It is available dry or wet-packed for quick installation and lower extractables.
Parker Proflow? II-E Select Cartridge Benefits:
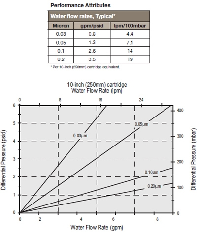
- Excellent liquid and gas flow rates
- Wet-pack option for quick installation
- PTFE/ PP construction for chemical resistance
- 100% integrity tested in cleanroom environment
Parker Proflow? II-E Select Cartridge Applications:
- Bulk chemical delivery
- Acids, bases, solvents, photochemicals
- Wet etch and clean
- Dilute acids
- DI water (<80C)
- Ultrapure electronics-grade gases
Parker Proflow? II-E Select Cartridge Specifications:

Materials of Construction
Membrane: PTFE
Support layers: Polypropylene
Structure: Polypropylene
All components are thermally bonded to ensure integrity and reduce extractables.
Effective Filtration Area
12.4ft2 (1.15m2) per 10" (250mm) cartridge
Maximum Differential
Pressure/Temperature
Forward:
70psid (4.8bar) @ 68°F (20°C)
40psid (2.8bar) @ 180°F (82°C)
Reverse:
40psid (2.8bar) @ 68°F (20°C)
Cleanliness (particle shedding)
Wet-packed: <1 particles/ml >0.2m after 6gal @ 1gpm 5
Data as from open bag and installed, no additional installation flushing.
TOC/Resistivity Rinse-up (wet-packed)
TOC rinse-up to background plus 5ppb of feed after 70gal @ 1gpm.
Resistivity rinse-up to background minus 0.2megohm-cm of feed after 30gal @ 1gpm.
Download Parker Proflow II E Select Datasheet
Talk to one of our filtration experts today at (855) 737-4717 or fill out our online form to learn more.
High-performance cartridge for ultrapure microelectronics fluids and gases